分享:基于拉伸變形本質行為的試驗方法探討
摘 要:從位錯滑移著手并結合晶體結構的特征,從細觀層面和宏觀唯象層面詳細探討了拉伸變形的本質行為,即微塑性變形具有不同時性和不均勻性,并貫穿于拉伸應力G應變曲線的各個階段;著重分析了應變速率對拉伸性能的影響,并從剛度修正、應變速率控制等方面探討了 GB/T228.1-2010的科學性和其在實際運用方面存在的難點及對應的建議.結果表明:拉伸試驗各階段的塑性變形在不同程度上受到應變速率的影響.
關鍵詞:拉伸變形本質;位錯滑移;微塑性變形;剛度修正;應變速率
中圖分類號:TG115.5+2 文獻標志碼:A 文章編號:1001G4012(2018)04G0239G05
AnalysisonTestMethodsBaseduponIntrinsicBehaviorofTensileDeformation
LIHuawei,WANGChengzhong
(ShanghaiXiuyangMaterialTestingTechnologyCo.,Ltd.,Shanghai201818,China)
Abstract:TheintrinsicbehavioroftensiledeformationwasdiscussedonmesoGlevelandmacroGlevel,starting
fromdislocationslipandcombining withthecharacteristicsofcrystalstructure.Itisthat microscopicplastic
deformationappearsatdifferenttimesanddistributesindifferentareas,andoccursinallstagesofthetensilestressG
straincurve.Theinfluenceofstrainrateontensilepropertieswasanalyzedemphatically,andthescientificalness,
difficultiesandsuggestionsinpracticaloperationofGB/T228.1-2010werealsoinvestigatedfromtheaspectsof
rigidnesscorrectionandstrainratecontrol.Theresultsindicatethattheplasticdeformationinallstagesoftensile
testwasaffectedbythestrainrateindifferentdegrees.
Keywords:nature oftensile deformation;dislocation slip; microscopic plastic deformation;rigidness
correction;strainrate
金屬材料拉伸試驗是測試其力學性能的基本方法之一,廣泛應用于航空航天、核電、軍工、汽車、機械設備、電子器材、醫療器械、建筑等各個行業.自GB/T228.1-2010«金屬材料 拉伸試驗 第1部分:室溫試驗方法»實施以來,業界對標準中的部分內容存在著各種各樣的爭議和解讀,僅«理化檢驗G物理分冊»公開發表持各種觀點的專題報道就達幾十篇之多[1].爭議的內容涉及了諸如應力控制、應變控制、彈性階段的速率、屈服階段的速率、閉環控制試驗機、剛度修正、引伸計、平行長度估算速率等諸多方面[2],這些爭議的焦點全都指向了拉伸過程中的速率問題.然而,目前公開發表的文獻大多是從宏觀唯象層次概括試驗事實并得出規律或研究結論,很少有去探究拉伸試驗的內在本質,而細觀尺度(晶粒、晶界、位錯、滑移)是聯系宏觀尺度(毫米到千米尺度)和微觀尺度(原子、電子等基本粒子尺度)的橋梁.為此,筆者嘗試從細觀尺度的晶粒、晶面、位錯、滑移等方面探討了拉伸試驗變形的本質,并結合宏觀的試驗現象探討了拉伸試驗方法標準中的爭議內容.
1 彈性的不完整性完整的彈性應該是加載時立即變形,卸載時立即恢復原狀,應力G應變曲線上加載線與卸載線完全重合,即應力和應變同相.但是實際上,彈性變形時加載線與卸載線并不重合,應變落后于應力,存在著彈性后效、滯彈性和包申格(Bauschinger)效應,這些效應的存在說明宏觀彈性變形并非理想的彈性變形,即宏觀的彈性變形中存在著非彈性變形[3].文獻[4]發現了超高強度鋼中的晶格微屈服現象,其 研 究 結 果 表 明:規 定 塑 性 延 伸 強 度 Rp0.2 為1160MPa的 某 超 高 強 度 系 泊 鏈 鋼,以 5.5×10-5s-1的應變速率對其進行拉伸試驗,拉伸過程中的原位中子衍射測試結果顯示其宏觀線彈性階段在應力為700MPa時,(200)晶面族優先于其他晶面出現了非彈性變形,即發生了微屈服[4].文獻[5]研究了氫對微屈服的影響,對充氫0.0008%(質量分數)的同類型超高強度系泊鏈鋼(充氫前其同批試樣
的Rp0.2為1160MPa),以5.5×10-5s-1的應變速率進行拉伸試驗,拉伸至500 MPa時發生脆性斷裂,即該材料只呈現出了宏觀線彈性特征.拉伸過程中的原位中子衍射測試結果顯示其宏觀線彈性階段在應力為300MPa時,具有(110)取向且平行于拉伸方向(TensileDirection,TD)的晶粒,即(110)//TD取向的晶粒優先于其他取向的晶粒率先呈現了非彈性變形,即出現微屈服現象[5].該現象與文獻[6]中的表述相一致,即在外力作用下,部分位錯會先達到臨界切應力而滑移(產生微屈服),值得注意的是位錯滑移不僅取決于促使位錯開動的臨界切應力,同時也取決于位錯的取向因子μ[6].文獻[7]關于位錯滑移與彈性變形的表述則更為詳細,具有密排六方結構(hcp)的αGTi拉伸試樣(納米長度的單晶試樣)的彈性應變為2.68%,原位拉伸過程中隨著應變的增加αGTi先后產生了3 種不同 Burgers矢量的滑 移 位 錯,其 中 最 先 啟 動 的 Burgers 矢 量 為1/3[1210]的位錯,其在拉伸應變量很小時(應變為0.44%)即開始滑移[7].非彈性變形、微屈服現象、位錯滑移均為塑性變形的表現形式,宏觀線性階段的微屈服現象研究最多的材料當屬鈹材,有研究者歸納出了鈹材產生一個單位(10-6)微屈服σmys與規定塑性延伸強度Rp0.2的經驗公式為:Rp0.2=171.0+2.728σmys[8].事實證明拉伸試驗的彈性階段確實存在著塑性變形,彈性性能宏觀上呈近似線性特征.
2 彈性的本質
彈性在微觀上表現為原子間的作用力與原子間的位移,對于理想晶體而言,由公式 P=Ar2 +Br4 (式中:P 表示原子間的作用力;r 表示原子間距;A 表示原子間吸引力常數,B 表示原子間排斥力常數,A和B 均與原子本性和晶格類型有關)可知,原子間.
3 拉伸試驗過程中各階段變形行為的本質
眾所周知,根據非連續屈服試樣的拉伸應力G應變曲線特征,為簡單起見可將其大致分為4個階段,即:彈性階段、屈服階段、均勻塑性變形階段、頸縮階段.當然,對于連續屈服試樣,其屈服階段和均勻塑性變形階段可認為是一個階段.由上述彈性的不完整性和彈性的本質分析可知,拉伸試驗的宏觀彈性階段也存在微區塑性變形,并貫穿于拉伸試驗的各個階段.塑性變形的主要機制為滑移和孿生,而孿生能夠提供的塑性變形量相比滑移來說是非常有限的,在探討塑性變形時該文主要考慮滑移的影響.
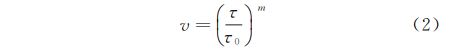
為此,有必要引入以下兩個公式[3]
式中:ε 表示塑性應變速率;b 表示位錯 Burgers矢量的模;ρ表示位錯密度;v 表示位錯運動速率.式中:τ為作用于位錯滑移面上的切應力;τ0 為位錯以單位速率運動所需要的切應力;m 表示位錯運動速率的應力敏感性指數.
3.1 頸縮階段
為了敘述的方便同時也考慮到塑性變形的明顯性,先分析頸縮階段的本質.為分析方便,引入一個公式如下
式中:dP 表示拉伸過程中瞬時力值的增加量;A 表
示拉伸試樣某時刻的截面積;dA 表示截面積瞬時減小量;S 表示某時刻截面上的應力;dS 表示加工硬化造成的應力瞬時增加量.頸縮前試樣平行部分各處的塑性變形宏觀上呈近似均勻變形,頸縮開始后變形主要集中于頸部區域,這時dP=AdS-SdA=0,即AdS=SdA,加工硬化和試樣截面積的減少對試樣承載力的影響達到平衡,力值不再增加,對應拉伸曲線的抗拉強度點位置.隨著應變的增加,dP =AdS -SdA < 0,即AdS <SdA,此時試樣截面積減小的影響占主導,力值持續減小直至斷裂[3].
3.2 屈服階段和均勻塑性變形階段
由式(1)可 知,試 樣 微 區 的 塑 性 應 變 速 率 由Burgers矢量、位錯密度、位錯運動速率三者的乘積決定.隨著塑性變形的增加,位錯密度快速增加使得位錯運動速率降低.由式(2)可知,位錯運動速率的降低必然會使切應力降低,從而造成試樣整體應力的下降[3],這即為拉伸曲線上觀察到的上屈服點和屈服下降的本質.屈服的整個過程與上屈服點和屈服下降的本質是一樣的,所不同的僅僅是應力的增加與否或增加快慢的問題,而這主要取決于式(3)中的各個變量.式(3)亦可解釋連續屈服和非連續屈服,連續屈服時AdS 永遠大于SdA,非連續屈服時將多次或者長時間出現AdS=SdA 的現象,從真應力G真應變曲線來看,連續屈服和非連續屈服的圖形均為向上的拋物線,兩者并無本質區別,反映在人為的日常所見的應力G應變曲線上才出現了連續屈服和非連續屈服現象.值得注意的是,鑒于位錯滑移的本質和特性,屈服階段和均勻塑性變形階段從細觀的層面來研究的話也具有不同時性和不均勻性.為了表述清晰,定義一個微頸縮的概念,即不同時性和不均勻性的位錯滑移必將在試樣局部微區域產生不均勻塑性變形(局部微區域產生微頸縮).在定義了這樣一個概念之后,就可以從細觀層面描述屈服階段和均勻塑性變形階段,即該階段自始至終都在不同的微區、不同的時間不間斷地產生一個個不同的微頸縮,當某些微頸縮達到一定程度時就不再繼續,而未達到微頸縮停止條件的則繼續進行,這樣一個動態不均勻過程產生了屈服階段和均勻塑性變形階段宏觀上近似的均勻變形.
3.3 拉伸總體過程的細觀與宏觀
至此,結合細觀和宏觀現象,可以對拉伸過程進行總體描述,即整個拉伸過程中均伴隨有微區域不同時性和不均勻性的微塑性變形和微頸縮現象,這種微塑性形變和微頸縮的不均勻程度不僅與材料特性相關,同時也與拉伸各個階段的應變速率或應力速率有關.例如,由于面心立方(fcc)金屬具有更多的滑移系,因而在宏觀上比體心立方(bcc)金屬呈現出更強的均勻塑性變形能力;同時拉伸速率的不同也會影響屈服強度或規定塑性延伸強度.所不同的是各個階段微塑性變形和微頸縮程度的大小各有不同:彈性階段由于位錯滑移系和滑移量較少,微塑性變形和微頸縮程度較小,反應在宏觀層面上即呈近似線性特征,由于該階段的塑性變形較小,在宏觀上的非線性不一定能夠被宏觀拉伸試驗檢測出;屈服階段和均勻塑性變形階段相比于彈性階段則呈現出劇烈的微塑性變形和微頸縮,這種微塑性變形和微頸縮分布的不均勻性有時可在宏觀上表現出來(如
非連續屈服材料拉伸屈服階段在使用裝卡式引伸計時可能造成的拉伸試驗機失控現象[10]);頸縮階段這種微塑性變形和微頸縮不均勻性表現得最為強烈,直接反映在宏觀上的局部頸縮直至斷裂(平行長度的某一部分的中心或近中心位置首先形成微孔,并逐漸聚集長大形成微裂紋直至斷裂).
4 拉伸速率對拉伸試驗的影響
材料屈服強度受拉伸溫度和應變速率的影響已有共識,但是在宏觀線性階段拉伸速率對應力G應變曲線的影響尚存在爭議[11],鑒于上述分析中微屈服現象貫穿于拉伸過程的各個階段,而塑性變形的速率對屈服強度有影響,因此可以從理論上推出實際的金屬材料不存在理想狀態下的絕對線彈性,彈性段的應變速率或多或少也會影響材料的屈服強度.用剪切強度表達的屈服強度公式為[9]
τ=αGbρ (4)
式中:τ為剪切強度;α 為幾何常數;G 為剪切模量;b 為位錯 Burgers矢量的模;ρ為位錯密度.由式(4)可知,材料的屈服強度正比于位錯密度和位錯 Burgers矢量的模,彈性段也有位錯的滑移,也會產生位錯的增值或位錯密度的增加,因此從這個角度來講拉伸試驗過程中的各個階段并無本質區別,彈性段的拉伸速率也會影響屈服強度,由于材料對速率的敏感程度不同,這種影響不一定能夠被宏觀拉伸試驗檢測出.對于一種確定的材料,拉伸試驗應力G應變曲線受溫度和拉伸速率的影響,限于篇幅,文獻[11]并未把溫度和速率的影響單獨分開來研究,由圖1[12]可知,宏觀彈性階段的拉伸溫度和速率不僅影響屈服強度,也影響抗拉強度,甚至還影響材料斷裂的性質.
5 GB/T228.1-2010中附錄F和剛度修正
剛度修正的問題在業界引起的爭議較大,值得注意的是剛度修正首先要忽略拉伸試樣的滑動,基于這個前提剛度修正才能成立.
CM ,則由式(15)可得
式中:Δt為位移時間;σ 為 Δt時間內應力變化;ΔF為 Δt時間內力值變化;S 為應變部分的截面積;E為彈性模量;ε 為 Δt時間內的應變量;V 為位移速率;ΔL 為總變形量;L 為應變產生部分的原始長度;R 為應力速率;e 為應變速率;ΔL系 為試驗機系統產生的等效彈性變形;L系 為產生等效彈性變形硬件的等效間距;S系 為產生等效彈性變形硬件的等效面積;E系 為產生等效彈性變形硬件的等效彈性模量;ΔLc 為試樣平行部分的彈性變形;Lc 為試樣平行部分的長度;S0 為試樣平行部分的原始截面積;Ec 為試樣的彈性模量;ΔL總 為試驗機橫梁位移.由于拉伸試驗中各階段均受試驗速率的影響,因此在條件允許的情況下,對拉伸速率的一致性提出要求[13]是科學的、嚴謹的.基于速率一致性的目的,在橫梁位移的拉伸方法不會被取消的條件下,進行拉伸過程的剛度修正也是大勢所趨.剛度修正不僅可適用于彈性階段,同樣也適用于屈服階段,并不是把僅適用于彈性階段的 Hooke定律應用于屈服階段[14].由式(16)可知,屈服階段的斜率 m 是一個動態變化的數值,即使是不考慮夾持過程中試樣相對于 夾 具 的 滑 移 (這 種 滑 移 或 多 或 少 也 是 存 在的),屈服階段的剛度修正也應該是一個動態過程,因此 剛 度 修 正 在 實 際 應 用 中 實 施 的 難 度 較 大.GB/T228.1-2010附錄 F中建議采用Rp0.2附近的
某時刻曲線斜率來代表整個動態過程的斜率 m[15],這本身就具有近似性或不準確性,這也是剛度修正引起爭議較大的原因[16].文獻[11]中21家實驗室拉伸驗證試驗中試驗機的剛度修正系數為2~25 ,而測試Rp0.2時引伸計控制方 式 比 橫 梁 位 移 控 制 方 式 的 速 率 快 22% ~74%[11](方法2采用0.9mm??min-1的橫梁位移速率,方法4采用標距內0.00025s-1 的應變速率).如按2~25的剛度修正系數進行計算,理論計算表明測試Rp0.2時引伸計控制方式的速率比橫梁位移控制方式的速率快50%~96%,這說明剛度修正系數2~25與速率差別22%~74%相矛盾.這可能是剛度修正系數的問題,即剛度修正系數與實際夾持過程中試樣相對于夾具的滑移以及斜率 m 未能
動態考慮有關;也可能是引伸計控制方式與橫梁位移方式速率比較時的差錯.筆者認為,比較可行的方法是:①盡量減小實際夾持過程中試樣相對于夾具的滑移,如可采用平推夾具等可減少試樣滑動的夾具;②制作專門的軟件程序模塊并以插件的模式推廣,用拉伸過程中的動態斜率m 進行剛度的動態修正.或許只有這樣才能消除爭議,否則提出近似準確的剛度修正系數[16]不可避免地存在理論上和實際上的誤差,也難以使所有人員信服.6 GB/T228.1-2010的科學性和實施難點GB/T228.1-2010的整體思路是為了保證各拉伸試驗機之間速率的一致性控制,而拉伸試驗各個階段均對試驗結果有著或多或少的影響,并且隨著時代的進步拉伸試驗設備及其附件功能不斷提升,使得速率一致 性 控 制 能 力 得 以 提 高,這 為 GB/T228.1-2010速率控制的實現提供了基礎.然而,該標準在實際應用方面仍舊存在一些難點:剛度修正的問題在此不再贅述;除此之外,各階段速率控制方式也存在著較多的難點,首先是速率切換點的問題,即對拉伸應力G應變曲線的預判可能存在難度,導致 “在彈性段的60%左右實施速率切換[15]”的速率切換點判斷較為困難;其次是速率切換過程存在不確定性,即“速率切換不要引入不連續性[15]”,平穩過渡需要多長時間或者需要在多少量的變形內完成等方面存在不確定性;另外,采用引伸計的反饋作為一種精確的控制手段是橫梁位移法所無法比擬的,也是大勢所趨,但是引伸計的使用也是一個問題,不但與引伸計的適用性有關,目前也與拉伸應力G應變曲線的預判有關.由于篇幅所限,標準中 A,B兩種方法在各階段速率比較等問題在此不予討論.
7 結論
(1)拉伸試驗的彈性階段也存在不同時性、不均勻性的塑性變形或微塑性變形,彈性性能在宏觀上呈現近似線性特征.
(2)微塑性變形的動態不均勻過程產生了宏觀上近似均勻變形的屈服階段和均勻塑性變形階段.
(3)頸縮階段微塑性變形的動態不均勻過程在宏觀上表現得最為明顯.
(4)拉伸試驗應力G應變曲線受拉伸過程各階段速率的影響,這種影響在彈性階段最小.
(5)剛度修正的提出為拉伸速率的一致性要求提供了基礎,是嚴謹的、科學的,但實施過程有一定的難度.
(文章來源:材料與測試網-理化檢驗-物理分冊)





浙公網安備 33042402000106號 a>

